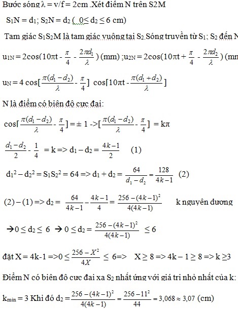
Hai nguồn kết hợp S1 và S2 trên mặt nước cách nhau 8cm có phương trình dao động lần lượt là
Hai nguồn kết hợp S1 và S2 trên mặt nước cách nhau 8cm có phương trình dao động lần lượt là u1 = 2cos(10πt -
) (mm) và u2 = 2cos(10πt +
) (mm). Tốc độ truyền sóng trên mặt nước là 10cm/s. Coi biên độ của sóng không đổi trong quá trình truyền đi. Điểm M trên mặt nước cách S1 khoảng S1M = 10cm và S2 khoảng S2M = 6cm. Điểm dao động cực đại trên S2M xa S2 nhất là
Đáp án đúng là: C
Quảng cáo
Đáp án cần chọn là: C
>> 2K9 Chú ý! Lộ Trình Sun 2027 - 1 lộ trình ôn đa kỳ thi (TN THPT, ĐGNL (Hà Nội/ Hồ Chí Minh), ĐGNL Sư Phạm, ĐGTD, ĐGNL Bộ Công an, ĐGNL Bộ Quốc phòngTD - Click xem ngay) tại Tuyensinh247.com. Cập nhật bám sát bộ SGK mới, Thầy Cô giáo giỏi, 3 bước chi tiết: Nền tảng lớp 12; Luyện thi chuyên sâu; Luyện đề đủ dạng đáp ứng mọi kì thi.
![]() |
![]() |
![]() |
![]() |
![]() |
![]() |
![]() |
![]() |
Hỗ trợ - Hướng dẫn
-
024.7300.7989
-
1800.6947
(Thời gian hỗ trợ từ 7h đến 22h)
Email: lienhe@tuyensinh247.com


=>Đáp án C










