Các nghiên cứu về cấu tạo cho biết glucose có một dạng mạch hở và hai dạng mạch vòng
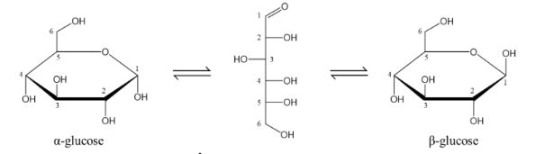
Các nghiên cứu về cấu tạo cho biết glucose có một dạng mạch hở và hai dạng mạch vòng ($\alpha$-glucose và $\beta$-glucose) chuyển hóa qua lại lẫn nhau như hình sau:

| Đúng | Sai | |
|---|---|---|
| a) Glucose có phản ứng hòa tan Cu(OH)2 ở điều kiện thường tạo dung dịch phức có màu xanh lam. | ||
| b) Nhóm –OH ở vị trí carbon số 6 trong glucose dạng mạch vòng gọi là –OH hemiacetal. | ||
| c) Do tồn tại ở dạng mạch vòng nên glucose có phản ứng làm mất màu dung dịch nước bromine. | ||
| d) Ở dạng mạch hở, phân tử glucose có 5 nhóm hydroxy và một nhóm chức ketone. |
Đáp án đúng là: Đ; S; S; S
Quảng cáo
Cấu tạo và tính chất hóa học của glucose.
Đáp án cần chọn là: Đ; S; S; S
>> 2K9 Chú ý! Lộ Trình Sun 2027 - 1 lộ trình ôn đa kỳ thi (TN THPT, ĐGNL (Hà Nội/ Hồ Chí Minh), ĐGNL Sư Phạm, ĐGTD, ĐGNL Bộ Công an, ĐGNL Bộ Quốc phòngTD - Click xem ngay) tại Tuyensinh247.com. Cập nhật bám sát bộ SGK mới, Thầy Cô giáo giỏi, 3 bước chi tiết: Nền tảng lớp 12; Luyện thi chuyên sâu; Luyện đề đủ dạng đáp ứng mọi kì thi.
![]() |
![]() |
![]() |
![]() |
![]() |
![]() |
![]() |
![]() |
Hỗ trợ - Hướng dẫn
-
024.7300.7989
-
1800.6947
(Thời gian hỗ trợ từ 7h đến 22h)
Email: lienhe@tuyensinh247.com












