Tel: 024.7300.7989 - Phone: 1800.6947 (Thời gian hỗ trợ từ 7h đến 22h)

Thi thử toàn quốc ĐGNL, ĐGTD ngày 25-26/04/2026
↪ ĐGNL HCM (V-ACT) - Trạm số 6 ↪ ĐGTD Bách khoa (TSA) - Trạm số 7
Giỏ hàng của tôi

Câu hỏi số 86364:

Đáp án đúng là: B

Quảng cáo

Câu hỏi:86364
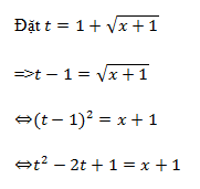
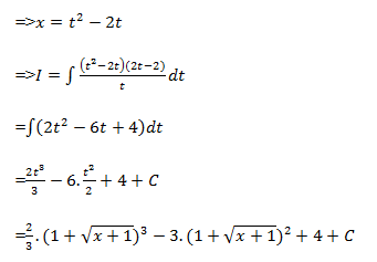
Giải chi tiết

\frac{2}{3}(1+\sqrt{x+1})^{3}-3(1+\sqrt{x+1})^{2}+4+C

Đáp án cần chọn là: B

Group 2K8 ôn Thi ĐGNL & ĐGTD Miễn Phí

>>  2K8 Chú ý! Lộ Trình Sun 2026 - 3IN1 - 1 lộ trình ôn 3 kì thi (Luyện thi 26+ TN THPT, 90+ ĐGNL HN, 900+ ĐGNL HCM, 70+ ĐGTD - Click xem ngay) tại Tuyensinh247.com.Đầy đủ theo 3 đầu sách, Thầy Cô giáo giỏi, luyện thi theo 3 giai đoạn: Nền tảng lớp 12, Luyện thi chuyên sâu, Luyện đề đủ dạng đáp ứng mọi kì thi.

Hỗ trợ - Hướng dẫn

  • 024.7300.7989
  • 1800.6947 free

(Thời gian hỗ trợ từ 7h đến 22h)
Email: lienhe@tuyensinh247.com