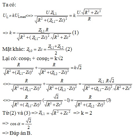
Đặt điện áp u = Uo cos100πt(V) (Uo không đổi) vào hai đầu đoạn mạch mắc nối tiếp theo thứ
Đặt điện áp u = Uo cos100πt(V) (Uo không đổi) vào hai đầu đoạn mạch mắc nối tiếp theo thứ tự gồm điện trở thuần R, tụ điện C và cuộn cảm thuần có độ tự cảm L thay đổi được. Khi L = Lo thì điện áp hiệu dụng giữa hai đầu cuộn cảm đạt cực đại là
. Khi L =
hoặc L =
thì điện áp hiệu dụng giữa hai đầu cuộn cảm có giá trị như nhau là
. Gọi
và
lần lượt là hệ số công suất của mạch khi độ tự cảm là
,
và Lo. Biết rằng 
Giá trị của
bằng
Đáp án đúng là: B
Quảng cáo
Đáp án cần chọn là: B
>> 2K9 Chú ý! Lộ Trình Sun 2027 - 1 lộ trình ôn đa kỳ thi (TN THPT, ĐGNL (Hà Nội/ Hồ Chí Minh), ĐGNL Sư Phạm, ĐGTD, ĐGNL Bộ Công an, ĐGNL Bộ Quốc phòngTD - Click xem ngay) tại Tuyensinh247.com. Cập nhật bám sát bộ SGK mới, Thầy Cô giáo giỏi, 3 bước chi tiết: Nền tảng lớp 12; Luyện thi chuyên sâu; Luyện đề đủ dạng đáp ứng mọi kì thi.
![]() |
![]() |
![]() |
![]() |
![]() |
![]() |
![]() |
![]() |
Hỗ trợ - Hướng dẫn
-
024.7300.7989
-
1800.6947
(Thời gian hỗ trợ từ 7h đến 22h)
Email: lienhe@tuyensinh247.com













