Một quả cầu nhỏ có m = 0,5 kg treo vào đầu 1 lò xo có độ cứng k = 50 N/m. Đầu trên
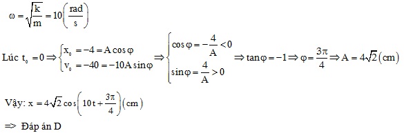
Một quả cầu nhỏ có m = 0,5 kg treo vào đầu 1 lò xo có độ cứng k = 50 N/m. Đầu trên của lò xo cố định. Chọn trục Ox có phương thẳng đứng, chiều dương từ trên xuống, gốc O trùng với vị trí cân bằng, mốc thời gian lúc bắt đầu chuyển động. Nâng quả cầu lên khỏi VTCB 4 cm rồi truyền cho nó vận tốc 40 cm/s hướng lên. Phương trình chuyển động của quả cầu là
Đáp án đúng là: D
Quảng cáo
Đáp án cần chọn là: D
>> 2K9 Chú ý! Lộ Trình Sun 2027 - 1 lộ trình ôn đa kỳ thi (TN THPT, ĐGNL (Hà Nội/ Hồ Chí Minh), ĐGNL Sư Phạm, ĐGTD, ĐGNL Bộ Công an, ĐGNL Bộ Quốc phòngTD - Click xem ngay) tại Tuyensinh247.com. Cập nhật bám sát bộ SGK mới, Thầy Cô giáo giỏi, 3 bước chi tiết: Nền tảng lớp 12; Luyện thi chuyên sâu; Luyện đề đủ dạng đáp ứng mọi kì thi.
![]() |
![]() |
![]() |
![]() |
![]() |
![]() |
![]() |
![]() |
Hỗ trợ - Hướng dẫn
-
024.7300.7989
-
1800.6947
(Thời gian hỗ trợ từ 7h đến 22h)
Email: lienhe@tuyensinh247.com













