Một xi lanh nằm ngang dài 2l, trong đó có pít tông khối lượng m ngăn cách thành 2 nửa cùng thể
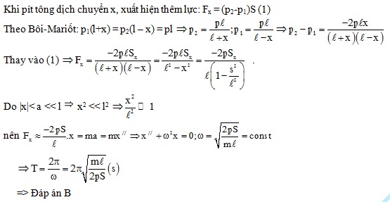
Một xi lanh nằm ngang dài 2l, trong đó có pít tông khối lượng m ngăn cách thành 2 nửa cùng thể tích V, nhiệt độ T, áp suất p. Pít tông có thể di chuyển không ma sát dọc xi lanh. Nhiệt độ không thay đổi. Đưa pít tông dời vị trí cân bằng đoạn a nào đó (a << l) rồi thả nhẹ thì pít tông dao động điều hòa với chu kỳ
Đáp án đúng là: B
Quảng cáo
Đáp án cần chọn là: B
>> 2K9 Chú ý! Lộ Trình Sun 2027 - 1 lộ trình ôn đa kỳ thi (TN THPT, ĐGNL (Hà Nội/ Hồ Chí Minh), ĐGNL Sư Phạm, ĐGTD, ĐGNL Bộ Công an, ĐGNL Bộ Quốc phòngTD - Click xem ngay) tại Tuyensinh247.com. Cập nhật bám sát bộ SGK mới, Thầy Cô giáo giỏi, 3 bước chi tiết: Nền tảng lớp 12; Luyện thi chuyên sâu; Luyện đề đủ dạng đáp ứng mọi kì thi.
![]() |
![]() |
![]() |
![]() |
![]() |
![]() |
![]() |
![]() |
Hỗ trợ - Hướng dẫn
-
024.7300.7989
-
1800.6947
(Thời gian hỗ trợ từ 7h đến 22h)
Email: lienhe@tuyensinh247.com













