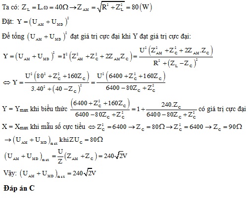
Cho mạch điện xoay chiều không phân nhánh AD gồm hai đoạn AM và MD. Đoạn mạch AM gồm cuộn dây
Cho mạch điện xoay chiều không phân nhánh AD gồm hai đoạn AM và MD. Đoạn mạch AM gồm cuộn dây điện trở thuần
và độ tự cảm
. Đoạn MD là một tụ điện có điện dung thay đổi được, C có giá trị hữu hạn khác không. Đặt vào hai đầu mạch điện áp xoay chiều
(V). Điều chỉnh C để tổng điện áp (UAM + UMD ) đạt giá trị cực đại. Giá trị cực đại đó là
Đáp án đúng là: C
Quảng cáo
Đáp án cần chọn là: C
>> 2K9 Chú ý! Lộ Trình Sun 2027 - 1 lộ trình ôn đa kỳ thi (TN THPT, ĐGNL (Hà Nội/ Hồ Chí Minh), ĐGNL Sư Phạm, ĐGTD, ĐGNL Bộ Công an, ĐGNL Bộ Quốc phòngTD - Click xem ngay) tại Tuyensinh247.com. Cập nhật bám sát bộ SGK mới, Thầy Cô giáo giỏi, 3 bước chi tiết: Nền tảng lớp 12; Luyện thi chuyên sâu; Luyện đề đủ dạng đáp ứng mọi kì thi.
![]() |
![]() |
![]() |
![]() |
![]() |
![]() |
![]() |
![]() |
Hỗ trợ - Hướng dẫn
-
024.7300.7989
-
1800.6947
(Thời gian hỗ trợ từ 7h đến 22h)
Email: lienhe@tuyensinh247.com













