Cho một mạch dao động gồm một tụ điện phẳng có điện dung C và một cuộn dây thuần cảm
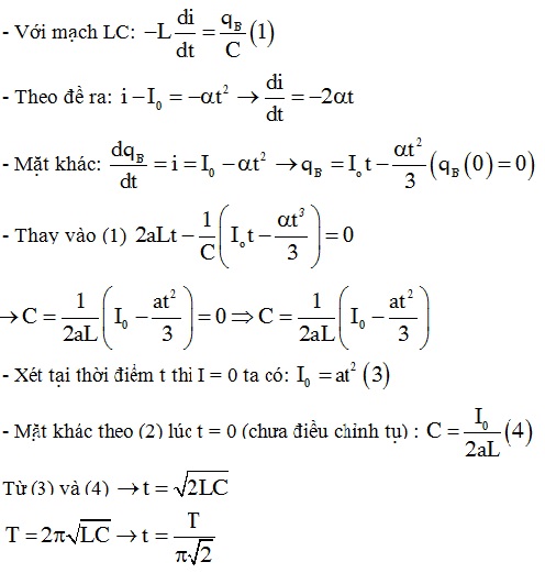
Cho một mạch dao động gồm một tụ điện phẳng có điện dung C và một cuộn dây thuần cảm có độ tự cảm L. Trong mạch có dao động điện từ tự do với chu kì T. Khi cường độ dòng điện trong mạch cực đại thì người ta điều chỉnh khoảng cách giữa các bản tụ điện sao cho độ giảm của cường độ dòng điện trong mạch sau đó tỉ lệ thuận với bình phương thời gian. Chọn gốc thời gian là lúc bắt đầu điều chỉnh, bỏ qua điện trở dây nối. Kể từ lúc bắt đầu điều chỉnh thì cường độ dòng điện trong mạch bằng không sau một khoảng thời gian
Đáp án đúng là: C
Quảng cáo
Đáp án cần chọn là: C
>> 2K9 Chú ý! Lộ Trình Sun 2027 - 1 lộ trình ôn đa kỳ thi (TN THPT, ĐGNL (Hà Nội/ Hồ Chí Minh), ĐGNL Sư Phạm, ĐGTD, ĐGNL Bộ Công an, ĐGNL Bộ Quốc phòngTD - Click xem ngay) tại Tuyensinh247.com. Cập nhật bám sát bộ SGK mới, Thầy Cô giáo giỏi, 3 bước chi tiết: Nền tảng lớp 12; Luyện thi chuyên sâu; Luyện đề đủ dạng đáp ứng mọi kì thi.
![]() |
![]() |
![]() |
![]() |
![]() |
![]() |
![]() |
![]() |
Hỗ trợ - Hướng dẫn
-
024.7300.7989
-
1800.6947
(Thời gian hỗ trợ từ 7h đến 22h)
Email: lienhe@tuyensinh247.com













