Cho các chất và các thông tin sau:- Để sản xuất thuốc hạ sốt, giảm đau là paracetamol, người
Cho các chất và các thông tin sau:

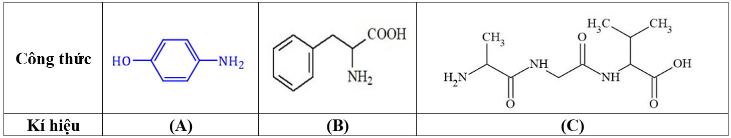
- Để sản xuất thuốc hạ sốt, giảm đau là paracetamol, người ta cho chất (A) tác dụng với (CH3CO)2O tạo thành sản phẩm gồm chất (D) và CH3COOH. Chất (D) là thành phần chính của thuốc paracetamol.
- Tại pH$\approx$5,91, chất (B) tồn tại dạng ion lưỡng cực.
Xác định tính đúng hoặc sai trong các phát biểu sau:
| Đúng | Sai | |
|---|---|---|
| a) Chất (C) có tên gọi là Ala – Gly – Val. | ||
| b) Cần ít nhất 245,25 kg chất (A) và 229,5 kg (CH3CO)2O để sản xuất được 5436 hộp thuốc paracetamol (biết mỗi hộp gồm 10 vỉ, mỗi vỉ gồm 10 viên, mỗi viên chứa 500 mg chất (D) và hiệu suất quá trình sản xuất là 80%). | ||
| c) Cho chất (B) vào dung dịch có pH = 3 và đặt trong điện trường thì chất (B) di chuyển về phía điện cực dương. | ||
| d) Chất (A), (B) đều là các hợp chất hữu cơ tạp chức, chất (C) thuộc loại tripeptide. |
Đáp án đúng là: Đ; Đ; S; Đ
Quảng cáo
a) Cấu tạo phân tử của peptide.
b) $\left. n_{A} = n_{{(CH_{3}CO)}_{2}O} = n_{D}\Rightarrow m. \right.$
c) Tính điện di của amino acid.
- pH < pI thì amino acid đó tồn tại ở dạng cation, di chuyển về cực (–) của điện trường,
- pH > pI thì amino acid đó tồn tại ở dạng anion, di chuyển về cực (+) của điện trường.
d) Đặc điểm cấu tạo phân tử.
- Hợp chất tạp chức là những hợp chất hữu cơ có nhiều loại nhóm chức trong phân tử.
- Tripeptide trên cấu thành từ 3 đơn vị α – amino acid liên kết với nhau qua liên kết peptide (-CO-NH-).
Đáp án cần chọn là: Đ; Đ; S; Đ
>> 2K9 Chú ý! Lộ Trình Sun 2027 - 1 lộ trình ôn đa kỳ thi (TN THPT, ĐGNL (Hà Nội/ Hồ Chí Minh), ĐGNL Sư Phạm, ĐGTD, ĐGNL Bộ Công an, ĐGNL Bộ Quốc phòngTD - Click xem ngay) tại Tuyensinh247.com. Cập nhật bám sát bộ SGK mới, Thầy Cô giáo giỏi, 3 bước chi tiết: Nền tảng lớp 12; Luyện thi chuyên sâu; Luyện đề đủ dạng đáp ứng mọi kì thi.
![]() |
![]() |
![]() |
![]() |
![]() |
![]() |
![]() |
![]() |
Hỗ trợ - Hướng dẫn
-
024.7300.7989
-
1800.6947
(Thời gian hỗ trợ từ 7h đến 22h)
Email: lienhe@tuyensinh247.com












