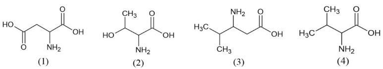
Cho công thức khung phân tử một số amino acid như sau: Tổng phân tử khối của
Cho công thức khung phân tử một số amino acid như sau:

Tổng phân tử khối của các α-amino acid trong số các amino acid trên bằng bao nhiêu?
Đáp án đúng là:
Quảng cáo
α-amino acid là amino acid có nhóm amine liên kết với carbon ở vị trí số 2.
Đáp án cần điền là: 369
>> 2K9 Chú ý! Lộ Trình Sun 2027 - 1 lộ trình ôn đa kỳ thi (TN THPT, ĐGNL (Hà Nội/ Hồ Chí Minh), ĐGNL Sư Phạm, ĐGTD, ĐGNL Bộ Công an, ĐGNL Bộ Quốc phòngTD - Click xem ngay) tại Tuyensinh247.com. Cập nhật bám sát bộ SGK mới, Thầy Cô giáo giỏi, 3 bước chi tiết: Nền tảng lớp 12; Luyện thi chuyên sâu; Luyện đề đủ dạng đáp ứng mọi kì thi.
![]() |
![]() |
![]() |
![]() |
![]() |
![]() |
![]() |
![]() |
Hỗ trợ - Hướng dẫn
-
024.7300.7989
-
1800.6947
(Thời gian hỗ trợ từ 7h đến 22h)
Email: lienhe@tuyensinh247.com












