Sorbitol là chất rắn kết tinh không màu, tan tốt trong nước và có vị ngọt dịu, khoảng 60% độ
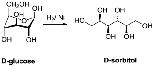
Sorbitol là chất rắn kết tinh không màu, tan tốt trong nước và có vị ngọt dịu, khoảng 60% độ ngọt của đường mía. Sorbitol được hấp thụ chậm trong ruột non, không làm tăng đường huyết đột ngột và không gây sâu răng. Khi dùng với liều cao, sorbitol có thể gây đầy hơi hoặc có tác dụng nhuận tràng. Sorbitol không có tác dụng thay thế chất xơ trong rau củ. Sorbitol được điều chế từ glucose thông qua phản ứng hydrogen hóa với xúc tác Ni (ở điều kiện thích hợp).

| Đúng | Sai | |
|---|---|---|
| a) Công thức phân tử của sorbiol là C6H14O6. | ||
| b) Trong phản ứng trên, glucose đóng vai trò chất khử. | ||
| c) Sử dụng sorbitol liều cao có thể thay thế chất xơ, tạo ra tác dụng nhuận tràng. | ||
| d) Tập đoàn CER của tiktoker Hằng Du Mục và Quang Linh vlog sản xuất được 130 000 hộp kẹo Kera để bán ra thị trường. Số lượng viên trong mỗi hộp là 30 viên. Khối lượng mỗi viên là 1,069 g. Hàm lượng sorbiol trong mỗi viên là 33,4%. Hiệu suất toàn bộ quá trình sản xuất là 80%. Khối lượng glucose tập đoàn này cần để sản xuất lô hàng 130 000 hộp kẹo Kera là 1721,5 kg. (không làm tròn kết quả các phép tính trung gian, chỉ làm tròn kết quả cuối cùng đến hàng phần trăm) |
Đáp án đúng là: Đ; S; S; Đ
Quảng cáo
a) Công thức cấu tạo xác định công thức phân tử.
b) Chất khử là chất nhường electron.
c) Tác dụng của sorbitol.
d) Tính theo phương trình phản ứng.
Đáp án cần chọn là: Đ; S; S; Đ
>> 2K9 Chú ý! Lộ Trình Sun 2027 - 1 lộ trình ôn đa kỳ thi (TN THPT, ĐGNL (Hà Nội/ Hồ Chí Minh), ĐGNL Sư Phạm, ĐGTD, ĐGNL Bộ Công an, ĐGNL Bộ Quốc phòngTD - Click xem ngay) tại Tuyensinh247.com. Cập nhật bám sát bộ SGK mới, Thầy Cô giáo giỏi, 3 bước chi tiết: Nền tảng lớp 12; Luyện thi chuyên sâu; Luyện đề đủ dạng đáp ứng mọi kì thi.
![]() |
![]() |
![]() |
![]() |
![]() |
![]() |
![]() |
![]() |
Hỗ trợ - Hướng dẫn
-
024.7300.7989
-
1800.6947
(Thời gian hỗ trợ từ 7h đến 22h)
Email: lienhe@tuyensinh247.com












