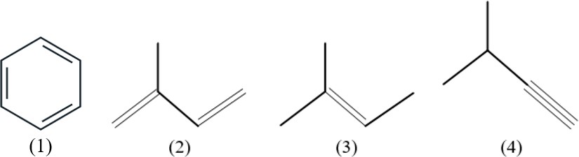
Cho một số chất có công thức cấu tạo dưới đây:Có bao nhiêu chất thuộc loại hydrocarbon
Cho một số chất có công thức cấu tạo dưới đây:

Có bao nhiêu chất thuộc loại hydrocarbon không no?
Đáp án đúng là: C
Quảng cáo
Hydrocarbon không no là những hydrocarbon trong phân tử có liên kết đôi C=C hoặc liên kết ba C≡C hoặc cả hai loại liên kết đó.
Đáp án cần chọn là: C
>> 2K8 Chú ý! Lộ Trình Sun 2026 - 3IN1 - 1 lộ trình ôn 3 kì thi (Luyện thi 26+ TN THPT, 90+ ĐGNL HN, 900+ ĐGNL HCM, 70+ ĐGTD - Click xem ngay) tại Tuyensinh247.com.Đầy đủ theo 3 đầu sách, Thầy Cô giáo giỏi, luyện thi theo 3 giai đoạn: Nền tảng lớp 12, Luyện thi chuyên sâu, Luyện đề đủ dạng đáp ứng mọi kì thi.
![]() |
![]() |
![]() |
![]() |
![]() |
![]() |
![]() |
![]() |
Hỗ trợ - Hướng dẫn
-
024.7300.7989
-
1800.6947
(Thời gian hỗ trợ từ 7h đến 22h)
Email: lienhe@tuyensinh247.com












