Cho hợp chất hữu cơ X có công thức sau:Xác định số liên kết peptide trong một phân tử
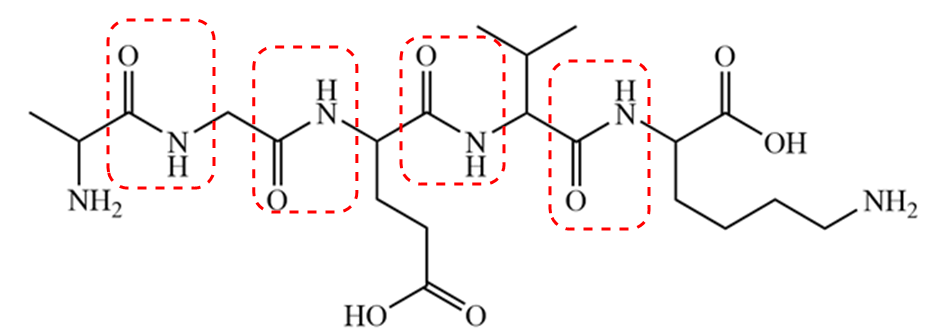
Cho hợp chất hữu cơ X có công thức sau:

Xác định số liên kết peptide trong một phân tử X.
Đáp án đúng là:
Quảng cáo
Liên kết peptide là liên kết hóa học (-CO-NH-) được hình thành giữa nhóm carboxyl (-COOH) của $\alpha$-amino acid này với nhóm amino (-NH2) của $\alpha$-amino acid tiếp theo.
Đáp án cần điền là: 4
>> 2K8 Chú ý! Lộ Trình Sun 2026 - 3IN1 - 1 lộ trình ôn 3 kì thi (Luyện thi 26+ TN THPT, 90+ ĐGNL HN, 900+ ĐGNL HCM, 70+ ĐGTD - Click xem ngay) tại Tuyensinh247.com.Đầy đủ theo 3 đầu sách, Thầy Cô giáo giỏi, luyện thi theo 3 giai đoạn: Nền tảng lớp 12, Luyện thi chuyên sâu, Luyện đề đủ dạng đáp ứng mọi kì thi.
![]() |
![]() |
![]() |
![]() |
![]() |
![]() |
![]() |
![]() |
Hỗ trợ - Hướng dẫn
-
024.7300.7989
-
1800.6947
(Thời gian hỗ trợ từ 7h đến 22h)
Email: lienhe@tuyensinh247.com













