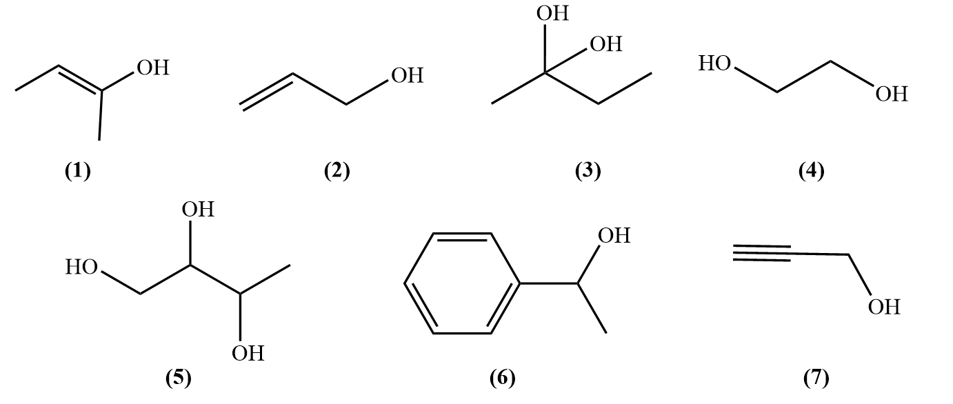
Những alcohol bền (có thể tồn tại độc lập) trên thực tế đều có đặc điểm là nhóm -OH
Những alcohol bền (có thể tồn tại độc lập) trên thực tế đều có đặc điểm là nhóm -OH liên kết với các nguyên tử carbon no và mỗi nguyên tử carbon chỉ liên kết tối đa với một nhóm -OH. Cho các hợp chất có công thức cấu tạo sau:

Có bao nhiêu alcohol bền?
Đáp án đúng là: 24567
Quảng cáo
Alcohol bền là những hợp chất hữu cơ trong phân tử có nhóm hydroxy (–OH) liên kết trực tiếp với nguyên tử carbon no.
Đáp án cần điền là: 24567
>> 2K9 Chú ý! Lộ Trình Sun 2027 - 1 lộ trình ôn đa kỳ thi (TN THPT, ĐGNL (Hà Nội/ Hồ Chí Minh), ĐGNL Sư Phạm, ĐGTD, ĐGNL Bộ Công an, ĐGNL Bộ Quốc phòngTD - Click xem ngay) tại Tuyensinh247.com. Cập nhật bám sát bộ SGK mới, Thầy Cô giáo giỏi, 3 bước chi tiết: Nền tảng lớp 12; Luyện thi chuyên sâu; Luyện đề đủ dạng đáp ứng mọi kì thi.
![]() |
![]() |
![]() |
![]() |
![]() |
![]() |
![]() |
![]() |
Hỗ trợ - Hướng dẫn
-
024.7300.7989
-
1800.6947
(Thời gian hỗ trợ từ 7h đến 22h)
Email: lienhe@tuyensinh247.com












