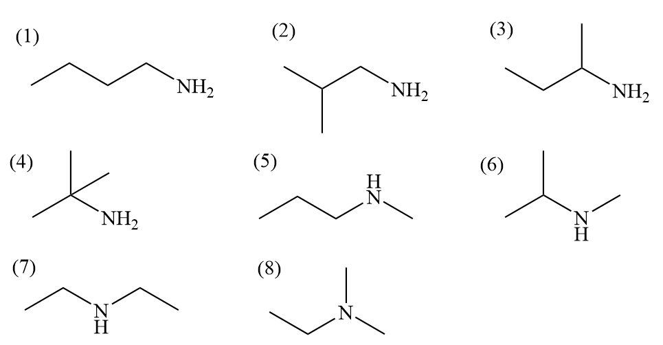
Amine X đơn chức. X tác dụng với HCl thu được muối Y có công thức là RNH₃Cl. Trong Y, chlorine
Amine X đơn chức. X tác dụng với HCl thu được muối Y có công thức là RNH₃Cl. Trong Y, chlorine chiếm 32,42% về khối lượng. Hãy cho biết X có bao nhiêu công thức cấu tạo?
Đáp án đúng là: 4
Quảng cáo
$\left. \% Cl = \dfrac{35,5}{M_{RNH_{3}Cl}}.100\%\Rightarrow R \right.$
Đáp án cần điền là: 4
>> 2K9 Chú ý! Lộ Trình Sun 2027 - 1 lộ trình ôn đa kỳ thi (TN THPT, ĐGNL (Hà Nội/ Hồ Chí Minh), ĐGNL Sư Phạm, ĐGTD, ĐGNL Bộ Công an, ĐGNL Bộ Quốc phòngTD - Click xem ngay) tại Tuyensinh247.com. Cập nhật bám sát bộ SGK mới, Thầy Cô giáo giỏi, 3 bước chi tiết: Nền tảng lớp 12; Luyện thi chuyên sâu; Luyện đề đủ dạng đáp ứng mọi kì thi.
![]() |
![]() |
![]() |
![]() |
![]() |
![]() |
![]() |
![]() |
Hỗ trợ - Hướng dẫn
-
024.7300.7989
-
1800.6947
(Thời gian hỗ trợ từ 7h đến 22h)
Email: lienhe@tuyensinh247.com













