Khi có mặt xúc tác FeBr3, benzene tác dụng với bromine theo phản ứng:
Khi có mặt xúc tác FeBr3, benzene tác dụng với bromine theo phản ứng:
${{C}_{6}}{{H}_{6}}+B{{\text{r}}_{2}}(FeB{{r}_{3}},{{t}^{o}})\xrightarrow{{}}{{C}_{6}}{{H}_{5}}Br+HBr$
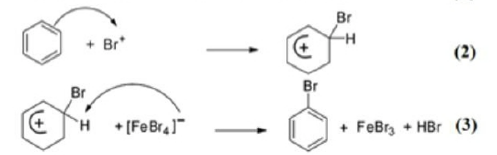
Cơ chế của phản ứng trên như sau:
$FeBr_{3} + Br_{2}\overset{}{\rightleftharpoons}Br^{+} + {\lbrack FeBr_{4}\rbrack}^{-}\,\,\,\,\,\,\,(1)$

Nhận định nào sau đây không đúng?
Đáp án đúng là: D
Quảng cáo
Cơ chế phản ứng.
Đáp án cần chọn là: D
>> 2K9 Chú ý! Lộ Trình Sun 2027 - 1 lộ trình ôn đa kỳ thi (TN THPT, ĐGNL (Hà Nội/ Hồ Chí Minh), ĐGNL Sư Phạm, ĐGTD, ĐGNL Bộ Công an, ĐGNL Bộ Quốc phòngTD - Click xem ngay) tại Tuyensinh247.com. Cập nhật bám sát bộ SGK mới, Thầy Cô giáo giỏi, 3 bước chi tiết: Nền tảng lớp 12; Luyện thi chuyên sâu; Luyện đề đủ dạng đáp ứng mọi kì thi.
![]() |
![]() |
![]() |
![]() |
![]() |
![]() |
![]() |
![]() |
Hỗ trợ - Hướng dẫn
-
024.7300.7989
-
1800.6947
(Thời gian hỗ trợ từ 7h đến 22h)
Email: lienhe@tuyensinh247.com












