Trong cấu trúc của DNA, các nucleotide giữa hai mạch đơn liên kết với nhau bằng liên kết
Trong cấu trúc của DNA, các nucleotide giữa hai mạch đơn liên kết với nhau bằng liên kết
Đáp án đúng là: D
Quảng cáo
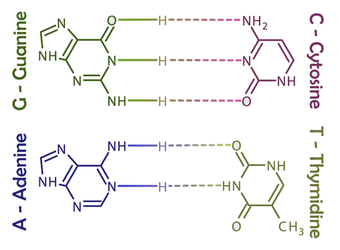
Phân biệt rõ hai loại liên kết chính trong phân tử DNA:
- Liên kết trên cùng một mạch: Các nucleotide kế tiếp nhau liên kết bằng liên kết cộng hóa trị (liên kết phosphodiester) bền vững giữa đường C5H10O4 và nhóm phosphate.
Liên kết giữa hai mạch đối diện: Các base nitrogenous (A, T, G, C) của hai mạch liên kết với nhau theo nguyên tắc bổ sung bằng các liên kết hydrogen yếu.
Đáp án cần chọn là: D
>> 2K9 Chú ý! Lộ Trình Sun 2027 - 1 lộ trình ôn đa kỳ thi (TN THPT, ĐGNL (Hà Nội/ Hồ Chí Minh), ĐGNL Sư Phạm, ĐGTD, ĐGNL Bộ Công an, ĐGNL Bộ Quốc phòngTD - Click xem ngay) tại Tuyensinh247.com. Cập nhật bám sát bộ SGK mới, Thầy Cô giáo giỏi, 3 bước chi tiết: Nền tảng lớp 12; Luyện thi chuyên sâu; Luyện đề đủ dạng đáp ứng mọi kì thi.
![]() |
![]() |
![]() |
![]() |
![]() |
![]() |
![]() |
![]() |
Hỗ trợ - Hướng dẫn
-
024.7300.7989
-
1800.6947
(Thời gian hỗ trợ từ 7h đến 22h)
Email: lienhe@tuyensinh247.com













