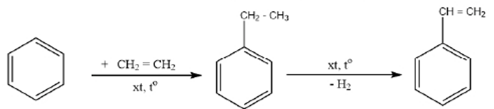
Một nhà máy sản xuất styrene từ benzene và ethylene qua hai giai đoạn theo sơ đồ chuyển hóa
Một nhà máy sản xuất styrene từ benzene và ethylene qua hai giai đoạn theo sơ đồ chuyển hóa sau:

Biết hiệu suất các giai đoạn lần lượt là 90% và h%.
Trong một mẻ sản xuất, nhà máy sử dụng 1,6 tấn benzene và lượng dư ethylene. Sau khi kết thúc quá trình, người ta thu được 1,5 tấn styrene. Giá trị của h bằng bao nhiêu?(Không làm tròn kết quả các phép tính trung gian, chỉ làm tròn kết quả cuối cùng đến hàng phần mười).
Đáp án đúng là:
Quảng cáo

Tính theo sơ đồ phản ứng.
Đáp án cần điền là: 78,1
>> 2K9 Chú ý! Lộ Trình Sun 2027 - 1 lộ trình ôn đa kỳ thi (TN THPT, ĐGNL (Hà Nội/ Hồ Chí Minh), ĐGNL Sư Phạm, ĐGTD, ĐGNL Bộ Công an, ĐGNL Bộ Quốc phòngTD - Click xem ngay) tại Tuyensinh247.com. Cập nhật bám sát bộ SGK mới, Thầy Cô giáo giỏi, 3 bước chi tiết: Nền tảng lớp 12; Luyện thi chuyên sâu; Luyện đề đủ dạng đáp ứng mọi kì thi.
![]() |
![]() |
![]() |
![]() |
![]() |
![]() |
![]() |
![]() |
Hỗ trợ - Hướng dẫn
-
024.7300.7989
-
1800.6947
(Thời gian hỗ trợ từ 7h đến 22h)
Email: lienhe@tuyensinh247.com













