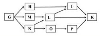
Giả sử lưới thức ăn trong một hệ sinh thái gồm các loài sinh vật G, H, I, K, L, M, N, O, P
Giả sử lưới thức ăn trong một hệ sinh thái gồm các loài sinh vật G, H, I, K, L, M, N, O, P được mô tả bằng sơ đồ ở hình bên. (Lưu ý: Hình ảnh sơ đồ lưới thức ăn bị cắt ở phần dưới của ảnh).

Cho biết loài G là sinh vật sản xuất và các loài còn lại đều là sinh vật tiêu thụ. Phân tích lưới thức ăn này. Loài I tham gia vào bao nhiêu chuỗi thức ăn khác nhau?
Đáp án đúng là:
Quảng cáo
Dựa vào lưới thức ăn và phân tích.
Đáp án cần điền là: 3
>> 2K8 Chú ý! Lộ Trình Sun 2026 - 3IN1 - 1 lộ trình ôn 3 kì thi (Luyện thi 26+ TN THPT, 90+ ĐGNL HN, 900+ ĐGNL HCM, 70+ ĐGTD - Click xem ngay) tại Tuyensinh247.com.Đầy đủ theo 3 đầu sách, Thầy Cô giáo giỏi, luyện thi theo 3 giai đoạn: Nền tảng lớp 12, Luyện thi chuyên sâu, Luyện đề đủ dạng đáp ứng mọi kì thi.
![]() |
![]() |
![]() |
![]() |
![]() |
![]() |
![]() |
![]() |
Hỗ trợ - Hướng dẫn
-
024.7300.7989
-
1800.6947
(Thời gian hỗ trợ từ 7h đến 22h)
Email: lienhe@tuyensinh247.com












