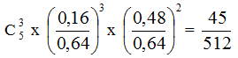
Cho biết A quy định hoa đỏ trội hoàn toàn so với a quy định hoa trắng. Một quần thể đang cân
Cho biết A quy định hoa đỏ trội hoàn toàn so với a quy định hoa trắng. Một quần thể đang cân bằng di truyền có tần số A = 0,4 và tần số a = 0,6. Lấy ngẫu nhiên 5 cây hoa đỏ, xác suất để thu được 3 cá thể thuần chủng là bao nhiêu?
Đáp án đúng là: B
Quảng cáo
Đáp án cần chọn là: B
>> 2K9 Chú ý! Lộ Trình Sun 2027 - 1 lộ trình ôn đa kỳ thi (TN THPT, ĐGNL (Hà Nội/ Hồ Chí Minh), ĐGNL Sư Phạm, ĐGTD, ĐGNL Bộ Công an, ĐGNL Bộ Quốc phòngTD - Click xem ngay) tại Tuyensinh247.com. Cập nhật bám sát bộ SGK mới, Thầy Cô giáo giỏi, 3 bước chi tiết: Nền tảng lớp 12; Luyện thi chuyên sâu; Luyện đề đủ dạng đáp ứng mọi kì thi.
![]() |
![]() |
![]() |
![]() |
![]() |
![]() |
![]() |
![]() |
Hỗ trợ - Hướng dẫn
-
024.7300.7989
-
1800.6947
(Thời gian hỗ trợ từ 7h đến 22h)
Email: lienhe@tuyensinh247.com












