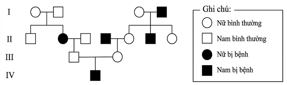
Bệnh di truyền hiếm gặp do rối loạn chuyển hóa lipid ở người, được phát hiện là di truyền
Bệnh di truyền hiếm gặp do rối loạn chuyển hóa lipid ở người, được phát hiện là di truyền đơn gene trên nhiễm sắc thể (NST) trong nhân tế bào quy định. Một phả hệ trong gia đình được mô tả như hình bên.

Phát biểu nào sau đây không đúng khi nói về phả hệ trên?
Đáp án đúng là: C
Quảng cáo
Phân tích phả hệ để xác định quy luật di truyền và đánh giá từng phát biểu.
Đáp án cần chọn là: C
>> 2K8 Chú ý! Lộ Trình Sun 2026 - 3IN1 - 1 lộ trình ôn 3 kì thi (Luyện thi 26+ TN THPT, 90+ ĐGNL HN, 900+ ĐGNL HCM, 70+ ĐGTD - Click xem ngay) tại Tuyensinh247.com.Đầy đủ theo 3 đầu sách, Thầy Cô giáo giỏi, luyện thi theo 3 giai đoạn: Nền tảng lớp 12, Luyện thi chuyên sâu, Luyện đề đủ dạng đáp ứng mọi kì thi.
![]() |
![]() |
![]() |
![]() |
![]() |
![]() |
![]() |
![]() |
Hỗ trợ - Hướng dẫn
-
024.7300.7989
-
1800.6947
(Thời gian hỗ trợ từ 7h đến 22h)
Email: lienhe@tuyensinh247.com












