Cho sơ đồ phả hệ sau:Bệnh P được quy định bởi gene trội nằm trên nhiễm sắc thể thường;
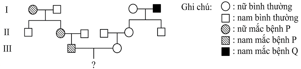
Cho sơ đồ phả hệ sau:

Bệnh P được quy định bởi gene trội nằm trên nhiễm sắc thể thường; bệnh Q được quy định bởi gene lặn nằm trên nhiễm sắc thể giới tính X, không có allele tương ứng trên Y. Biết rằng không có đột biến mới xảy ra. Cặp vợ chồng ở thế hệ III trong sơ đồ phả hệ trên muốn sinh con đầu lòng là con trai nhưng họ sợ con bị mắc bệnh, hãy tính xác suất họ sinh con trai mắc cả hai bệnh P và Q là bao nhiêu?
Đáp án đúng là: D
Quảng cáo
Khi hai bệnh trên cùng một phả hệ mà 2 bệnh này do 2 gene trên 2 cặp NST khác nhau thì tốt nhất để khỏi lẫn lộn xét 2 bệnh khác nhau riêng biệt ở 2 phả hệ (phả hệ 1: xét bệnh 1 và phả hệ 2: xét bệnh 2) và nhớ đánh số thứ tự cho khỏi nhầm lẫn.
Đáp án cần chọn là: D
>> 2K8 Chú ý! Lộ Trình Sun 2026 - 3IN1 - 1 lộ trình ôn 3 kì thi (Luyện thi 26+ TN THPT, 90+ ĐGNL HN, 900+ ĐGNL HCM, 70+ ĐGTD - Click xem ngay) tại Tuyensinh247.com.Đầy đủ theo 3 đầu sách, Thầy Cô giáo giỏi, luyện thi theo 3 giai đoạn: Nền tảng lớp 12, Luyện thi chuyên sâu, Luyện đề đủ dạng đáp ứng mọi kì thi.
![]() |
![]() |
![]() |
![]() |
![]() |
![]() |
![]() |
![]() |
Hỗ trợ - Hướng dẫn
-
024.7300.7989
-
1800.6947
(Thời gian hỗ trợ từ 7h đến 22h)
Email: lienhe@tuyensinh247.com












