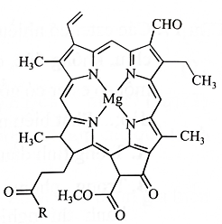
Trong phức chất: số liên kết σ của một phối tử với nguyên tử trung tâm được gọi là dung
Trong phức chất: số liên kết σ của một phối tử với nguyên tử trung tâm được gọi là dung lượng phối trí của phối tử đó; tổng số liên kết σ giữa nguyên tử trung tâm với các phối tử được gọi là số phối trí của nguyên tử trung tâm đó.
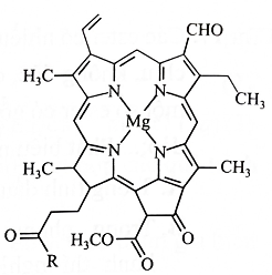
Cho phức chất chlorophyll có công thức:

Số phối trí của nguyên tử trung tâm và dung lượng phối trí của phối tử trong phức chất chlorophyll là:
Đáp án đúng là: C
Quảng cáo
Trong phức chất: số liên kết σ của một phối tử với nguyên tử trung tâm được gọi là dung lượng phối trí của phối tử đó; tổng số liên kết σ giữa nguyên tử trung tâm với các phối tử được gọi là số phối trí của nguyên tử trung tâm đó.
Đáp án cần chọn là: C
>> 2K9 Chú ý! Lộ Trình Sun 2027 - 1 lộ trình ôn đa kỳ thi (TN THPT, ĐGNL (Hà Nội/ Hồ Chí Minh), ĐGNL Sư Phạm, ĐGTD, ĐGNL Bộ Công an, ĐGNL Bộ Quốc phòngTD - Click xem ngay) tại Tuyensinh247.com. Cập nhật bám sát bộ SGK mới, Thầy Cô giáo giỏi, 3 bước chi tiết: Nền tảng lớp 12; Luyện thi chuyên sâu; Luyện đề đủ dạng đáp ứng mọi kì thi.
![]() |
![]() |
![]() |
![]() |
![]() |
![]() |
![]() |
![]() |
Hỗ trợ - Hướng dẫn
-
024.7300.7989
-
1800.6947
(Thời gian hỗ trợ từ 7h đến 22h)
Email: lienhe@tuyensinh247.com













