Một nguồn âm điểm đặt tại O phát sóng âm đẳng hướng ra môi trường không hấp thụ âm.
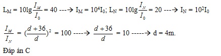
Một nguồn âm điểm đặt tại O phát sóng âm đẳng hướng ra môi trường không hấp thụ âm. Tại điểm M cách O một khoảng d có mức cướng độ âm là 40 dB. Tại điểm N cách O một đoạn d + 36 m thì mức cường độ âm là 20 dB. Giá trị của d bằng
Đáp án đúng là: C
Quảng cáo
Đáp án cần chọn là: C
>> 2K9 Chú ý! Lộ Trình Sun 2027 - 1 lộ trình ôn đa kỳ thi (TN THPT, ĐGNL (Hà Nội/ Hồ Chí Minh), ĐGNL Sư Phạm, ĐGTD, ĐGNL Bộ Công an, ĐGNL Bộ Quốc phòngTD - Click xem ngay) tại Tuyensinh247.com. Cập nhật bám sát bộ SGK mới, Thầy Cô giáo giỏi, 3 bước chi tiết: Nền tảng lớp 12; Luyện thi chuyên sâu; Luyện đề đủ dạng đáp ứng mọi kì thi.
![]() |
![]() |
![]() |
![]() |
![]() |
![]() |
![]() |
![]() |
Hỗ trợ - Hướng dẫn
-
024.7300.7989
-
1800.6947
(Thời gian hỗ trợ từ 7h đến 22h)
Email: lienhe@tuyensinh247.com













