Đặt điện áp xoay chiều có giá trị hiệu dụng U = 120 V, tần số thay đổi được vào hai đầu
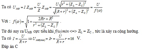
Đặt điện áp xoay chiều có giá trị hiệu dụng U = 120 V, tần số thay đổi được vào hai đầu đoạn mạch AB gồm hai đoạn mạch AM và MB mắc nối tiếp. Đoạn mạch AM chỉ có điện trở thuần R = 26 Ω; đoạn mạch MB gồm tụ điện và cuộn dây không thuần cảm có điện trở thuần r = 4 Ω. Thay đổi tần số dòng điện đến khi điện áp hiệu dụng hai đầu đoạn mạch MB cực tiểu. Giá trị cực tiểu đó bằng
Đáp án đúng là: C
Quảng cáo
Đáp án cần chọn là: C
>> 2K9 Chú ý! Lộ Trình Sun 2027 - 1 lộ trình ôn đa kỳ thi (TN THPT, ĐGNL (Hà Nội/ Hồ Chí Minh), ĐGNL Sư Phạm, ĐGTD, ĐGNL Bộ Công an, ĐGNL Bộ Quốc phòngTD - Click xem ngay) tại Tuyensinh247.com. Cập nhật bám sát bộ SGK mới, Thầy Cô giáo giỏi, 3 bước chi tiết: Nền tảng lớp 12; Luyện thi chuyên sâu; Luyện đề đủ dạng đáp ứng mọi kì thi.
![]() |
![]() |
![]() |
![]() |
![]() |
![]() |
![]() |
![]() |
Hỗ trợ - Hướng dẫn
-
024.7300.7989
-
1800.6947
(Thời gian hỗ trợ từ 7h đến 22h)
Email: lienhe@tuyensinh247.com













