Đặt điện áp u = U0cos(ωt + φ) (U0 và φ không đổi) vào hai đầu đoạn mạch mắc nối tiếp
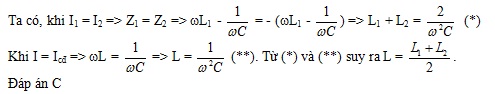
Đặt điện áp u = U0cos(ωt + φ) (U0 và φ không đổi) vào hai đầu đoạn mạch mắc nối tiếp gồm điện trở thuần, tụ điện và cuộn cảm thuần có độ tự cảm L thay đổi được. Khi L = L1 hoặc L = L2 thì cường độ dòng điện hiệu dụng trong đoạn mặt bằng nhau. Để cường độ dòng điện hiệu dụng trong đoạn mạch đạt giá trị cực đại thì giá trị của L bằng
Đáp án đúng là: C
Quảng cáo
Đáp án cần chọn là: C
>> 2K9 Chú ý! Lộ Trình Sun 2027 - 1 lộ trình ôn đa kỳ thi (TN THPT, ĐGNL (Hà Nội/ Hồ Chí Minh), ĐGNL Sư Phạm, ĐGTD, ĐGNL Bộ Công an, ĐGNL Bộ Quốc phòngTD - Click xem ngay) tại Tuyensinh247.com. Cập nhật bám sát bộ SGK mới, Thầy Cô giáo giỏi, 3 bước chi tiết: Nền tảng lớp 12; Luyện thi chuyên sâu; Luyện đề đủ dạng đáp ứng mọi kì thi.
![]() |
![]() |
![]() |
![]() |
![]() |
![]() |
![]() |
![]() |
Hỗ trợ - Hướng dẫn
-
024.7300.7989
-
1800.6947
(Thời gian hỗ trợ từ 7h đến 22h)
Email: lienhe@tuyensinh247.com













