Mạch dao động LC thực hiện dao động điện từ tự do với điện áp cực đại trên tụ là 12
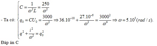
Mạch dao động LC thực hiện dao động điện từ tự do với điện áp cực đại trên tụ là 12 V. Tại thời điểm điện tích trên tụ có giá trị q = 6.10-9 C thì cường độ dòng điện qua cuộn dây là i = 3√3 mA. Biết cuộn dây có độ tự cảm 4 mH. Tần số góc của mạch là
Đáp án đúng là: C
Quảng cáo
Đáp án cần chọn là: C
>> 2K9 Chú ý! Lộ Trình Sun 2027 - 1 lộ trình ôn đa kỳ thi (TN THPT, ĐGNL (Hà Nội/ Hồ Chí Minh), ĐGNL Sư Phạm, ĐGTD, ĐGNL Bộ Công an, ĐGNL Bộ Quốc phòngTD - Click xem ngay) tại Tuyensinh247.com. Cập nhật bám sát bộ SGK mới, Thầy Cô giáo giỏi, 3 bước chi tiết: Nền tảng lớp 12; Luyện thi chuyên sâu; Luyện đề đủ dạng đáp ứng mọi kì thi.
![]() |
![]() |
![]() |
![]() |
![]() |
![]() |
![]() |
![]() |
Hỗ trợ - Hướng dẫn
-
024.7300.7989
-
1800.6947
(Thời gian hỗ trợ từ 7h đến 22h)
Email: lienhe@tuyensinh247.com













