Mạch chọn sóng của một máy thu gồm một tụ điện xoay và cuộn cảm có độ tự cảm
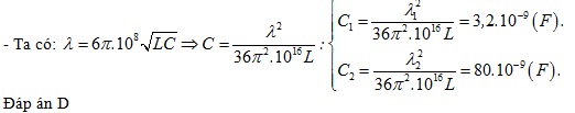
Mạch chọn sóng của một máy thu gồm một tụ điện xoay và cuộn cảm có độ tự cảm 25/(288π2) (μH). Tốc độ truyền sóng điện từ là 3.108 (m/s). Để có thể bắt được dải sóng bước sóng từ 10 m đến 50 m thì điện dung biến thiên trong khoảng nào?
Đáp án đúng là: D
Quảng cáo
Đáp án cần chọn là: D
>> 2K9 Chú ý! Lộ Trình Sun 2027 - 1 lộ trình ôn đa kỳ thi (TN THPT, ĐGNL (Hà Nội/ Hồ Chí Minh), ĐGNL Sư Phạm, ĐGTD, ĐGNL Bộ Công an, ĐGNL Bộ Quốc phòngTD - Click xem ngay) tại Tuyensinh247.com. Cập nhật bám sát bộ SGK mới, Thầy Cô giáo giỏi, 3 bước chi tiết: Nền tảng lớp 12; Luyện thi chuyên sâu; Luyện đề đủ dạng đáp ứng mọi kì thi.
![]() |
![]() |
![]() |
![]() |
![]() |
![]() |
![]() |
![]() |
Hỗ trợ - Hướng dẫn
-
024.7300.7989
-
1800.6947
(Thời gian hỗ trợ từ 7h đến 22h)
Email: lienhe@tuyensinh247.com













