Đặt điện áp xoay chiều u = U√2cos(ωt) (V) (trong U, ω không đổi) vào hai đầu một cuộn dây
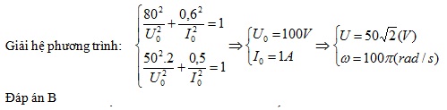
Đặt điện áp xoay chiều u = U√2cos(ωt) (V) (trong U, ω không đổi) vào hai đầu một cuộn dây cảm thuần có L = 1/ π (H). Ở thời điểm t1 thì điện áp hai đầu cuộn cảm là 80V, cường độ dòng điện qua nó là 0,6A. Còn ở thời điểm t2 thì điện áp hai đầu cuộn cảm là 50√2V, cường độ dòng điện qua nó là √2/2 A. U và ω có giá trị lần lượt là:
Đáp án đúng là: B
Quảng cáo
Đáp án cần chọn là: B
>> 2K9 Chú ý! Lộ Trình Sun 2027 - 1 lộ trình ôn đa kỳ thi (TN THPT, ĐGNL (Hà Nội/ Hồ Chí Minh), ĐGNL Sư Phạm, ĐGTD, ĐGNL Bộ Công an, ĐGNL Bộ Quốc phòngTD - Click xem ngay) tại Tuyensinh247.com. Cập nhật bám sát bộ SGK mới, Thầy Cô giáo giỏi, 3 bước chi tiết: Nền tảng lớp 12; Luyện thi chuyên sâu; Luyện đề đủ dạng đáp ứng mọi kì thi.
![]() |
![]() |
![]() |
![]() |
![]() |
![]() |
![]() |
![]() |
Hỗ trợ - Hướng dẫn
-
024.7300.7989
-
1800.6947
(Thời gian hỗ trợ từ 7h đến 22h)
Email: lienhe@tuyensinh247.com













