Cho mạch điện xoay chiều nối tiếp AB gồm: đoạn AM chứa điện trở thuần, đoạn MN chứa
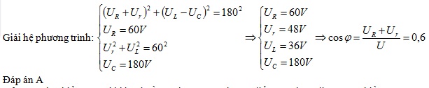
Cho mạch điện xoay chiều nối tiếp AB gồm: đoạn AM chứa điện trở thuần, đoạn MN chứa cuộn dây không thuần cảm, đoạn mạch NB chứa tụ điện. Đặt vào hai đầu AB một điện áp xoay chiều u = 180√3cos100 πt (V). Khi đó điện áp hiệu dụng hai đầu đoạn mạch AM là 60V, hai đầu đoạn mạch MN là 60V, hai đầu đoạn mạch NB là 180V. Hệ số công suất của mạch là:
Đáp án đúng là: A
Quảng cáo
Đáp án cần chọn là: A
>> 2K9 Chú ý! Lộ Trình Sun 2027 - 1 lộ trình ôn đa kỳ thi (TN THPT, ĐGNL (Hà Nội/ Hồ Chí Minh), ĐGNL Sư Phạm, ĐGTD, ĐGNL Bộ Công an, ĐGNL Bộ Quốc phòngTD - Click xem ngay) tại Tuyensinh247.com. Cập nhật bám sát bộ SGK mới, Thầy Cô giáo giỏi, 3 bước chi tiết: Nền tảng lớp 12; Luyện thi chuyên sâu; Luyện đề đủ dạng đáp ứng mọi kì thi.
![]() |
![]() |
![]() |
![]() |
![]() |
![]() |
![]() |
![]() |
Hỗ trợ - Hướng dẫn
-
024.7300.7989
-
1800.6947
(Thời gian hỗ trợ từ 7h đến 22h)
Email: lienhe@tuyensinh247.com













