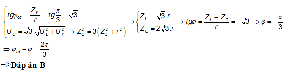
Cho đoạn mạch điện xoay chiều gồm cuộn dây mắc nối tiếp với tụ điện. Độ lệch pha của
Cho đoạn mạch điện xoay chiều gồm cuộn dây mắc nối tiếp với tụ điện. Độ lệch pha của hiệu điện thế giữa hai đầu cuộn dây so với cường độ dòng điện trong mạch là
. Hiệu điện thế hiệu dụng giữa hai đầu tụ điện bằng
lần hiệu điện thế hiệu dụng giữa hai đầu cuộn dây. Độ lệch pha của hiệu điện thế giữa hai đầu cuộn dây so với hiệu điện thế giữa hai đầu đoạn mạch trên là
Đáp án đúng là: B
Quảng cáo
Đáp án cần chọn là: B
>> 2K9 Chú ý! Lộ Trình Sun 2027 - 1 lộ trình ôn đa kỳ thi (TN THPT, ĐGNL (Hà Nội/ Hồ Chí Minh), ĐGNL Sư Phạm, ĐGTD, ĐGNL Bộ Công an, ĐGNL Bộ Quốc phòngTD - Click xem ngay) tại Tuyensinh247.com. Cập nhật bám sát bộ SGK mới, Thầy Cô giáo giỏi, 3 bước chi tiết: Nền tảng lớp 12; Luyện thi chuyên sâu; Luyện đề đủ dạng đáp ứng mọi kì thi.
![]() |
![]() |
![]() |
![]() |
![]() |
![]() |
![]() |
![]() |
Hỗ trợ - Hướng dẫn
-
024.7300.7989
-
1800.6947
(Thời gian hỗ trợ từ 7h đến 22h)
Email: lienhe@tuyensinh247.com













