Đặt điện áp xoay chiều có giá trị hiệu dụng U = 30V vào hai đầu đoạn mạch RLC nối tiếp.
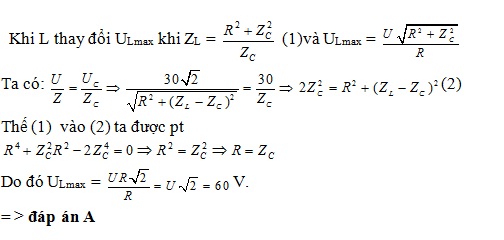
Đặt điện áp xoay chiều có giá trị hiệu dụng U = 30
V vào hai đầu đoạn mạch RLC nối tiếp. Biết cuộn dây thuần cảm, có độ cảm L thay đổi được. Khi điện áp hiệu dụng hai đầu cuộn dây đạt cực đại thì hiệu điện thế hiệu dụng hai đầu tụ điện là 30V. Giá trị hiệu điện thế hiệu dụng cực đại hai đầu cuộn dây là:
Đáp án đúng là: A
Quảng cáo
Đáp án cần chọn là: A
>> 2K9 Chú ý! Lộ Trình Sun 2027 - 1 lộ trình ôn đa kỳ thi (TN THPT, ĐGNL (Hà Nội/ Hồ Chí Minh), ĐGNL Sư Phạm, ĐGTD, ĐGNL Bộ Công an, ĐGNL Bộ Quốc phòngTD - Click xem ngay) tại Tuyensinh247.com. Cập nhật bám sát bộ SGK mới, Thầy Cô giáo giỏi, 3 bước chi tiết: Nền tảng lớp 12; Luyện thi chuyên sâu; Luyện đề đủ dạng đáp ứng mọi kì thi.
![]() |
![]() |
![]() |
![]() |
![]() |
![]() |
![]() |
![]() |
Hỗ trợ - Hướng dẫn
-
024.7300.7989
-
1800.6947
(Thời gian hỗ trợ từ 7h đến 22h)
Email: lienhe@tuyensinh247.com













