Thực hiện thí nghiệm I – âng về giao thoa ánh sáng. Khoảng cách giữa hai khe là 1 mm, màn quan
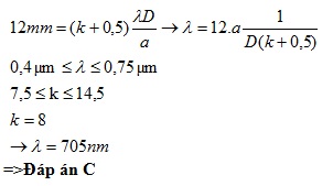
Thực hiện thí nghiệm I – âng về giao thoa ánh sáng. Khoảng cách giữa hai khe là 1 mm, màn quan sát đặt song song với mặt phẳng chứa hai khe và cách hai khe 2m. Chiếu sáng hai khe bằng ánh sáng trắng có bước sóng 0,4 µm ≤ λ ≤ 0,75 µm. Bước sóng lớn nhất của các bức xạ cho vân tối tại điểm N trên màn, cách vân trung tâm 12 mm, là
Đáp án đúng là: C
Quảng cáo
Đáp án cần chọn là: C
>> 2K9 Chú ý! Lộ Trình Sun 2027 - 1 lộ trình ôn đa kỳ thi (TN THPT, ĐGNL (Hà Nội/ Hồ Chí Minh), ĐGNL Sư Phạm, ĐGTD, ĐGNL Bộ Công an, ĐGNL Bộ Quốc phòngTD - Click xem ngay) tại Tuyensinh247.com. Cập nhật bám sát bộ SGK mới, Thầy Cô giáo giỏi, 3 bước chi tiết: Nền tảng lớp 12; Luyện thi chuyên sâu; Luyện đề đủ dạng đáp ứng mọi kì thi.
![]() |
![]() |
![]() |
![]() |
![]() |
![]() |
![]() |
![]() |
Hỗ trợ - Hướng dẫn
-
024.7300.7989
-
1800.6947
(Thời gian hỗ trợ từ 7h đến 22h)
Email: lienhe@tuyensinh247.com













