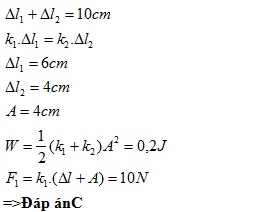
Cho hệ lò xo như hình vẽ: m = 100 g, k1 = 100 N/m; k2 = 150 N/m. Khi ở vị trí cân bằng, tổng độ
Cho hệ lò xo như hình vẽ: m = 100 g, k1 = 100 N/m; k2 = 150 N/m. Khi ở vị trí cân bằng, tổng độ giãn của hai lò xo là 10 cm. Kéo vật tới vị trí để lò xo hai không giãn rồi buông nhẹ để vật dao động điều hòa. Cơ năng và lực đàn hồi cực đại của lò xo 1 lần lượt là

Đáp án đúng là: C
Quảng cáo
Đáp án cần chọn là: C
>> 2K9 Chú ý! Lộ Trình Sun 2027 - 1 lộ trình ôn đa kỳ thi (TN THPT, ĐGNL (Hà Nội/ Hồ Chí Minh), ĐGNL Sư Phạm, ĐGTD, ĐGNL Bộ Công an, ĐGNL Bộ Quốc phòngTD - Click xem ngay) tại Tuyensinh247.com. Cập nhật bám sát bộ SGK mới, Thầy Cô giáo giỏi, 3 bước chi tiết: Nền tảng lớp 12; Luyện thi chuyên sâu; Luyện đề đủ dạng đáp ứng mọi kì thi.
![]() |
![]() |
![]() |
![]() |
![]() |
![]() |
![]() |
![]() |
Hỗ trợ - Hướng dẫn
-
024.7300.7989
-
1800.6947
(Thời gian hỗ trợ từ 7h đến 22h)
Email: lienhe@tuyensinh247.com













