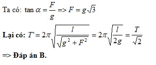
Một con lắc đơn gồm quả cầu kim loại nhỏ, khối lượng m, treo vào sợi dây mảnh dài ℓ,
Một con lắc đơn gồm quả cầu kim loại nhỏ, khối lượng m, treo vào sợi dây mảnh dài ℓ, trong điện trường đều có
nằm ngang. Khi đó, vị trí cân bằng của con lắc tạo với phương thẳng đứng góc α = 600. So với lúc chưa có điện trường, chu kỳ dao động bé của con lắc sẽ
Đáp án đúng là: B
Quảng cáo
Đáp án cần chọn là: B
>> 2K9 Chú ý! Lộ Trình Sun 2027 - 1 lộ trình ôn đa kỳ thi (TN THPT, ĐGNL (Hà Nội/ Hồ Chí Minh), ĐGNL Sư Phạm, ĐGTD, ĐGNL Bộ Công an, ĐGNL Bộ Quốc phòngTD - Click xem ngay) tại Tuyensinh247.com. Cập nhật bám sát bộ SGK mới, Thầy Cô giáo giỏi, 3 bước chi tiết: Nền tảng lớp 12; Luyện thi chuyên sâu; Luyện đề đủ dạng đáp ứng mọi kì thi.
![]() |
![]() |
![]() |
![]() |
![]() |
![]() |
![]() |
![]() |
Hỗ trợ - Hướng dẫn
-
024.7300.7989
-
1800.6947
(Thời gian hỗ trợ từ 7h đến 22h)
Email: lienhe@tuyensinh247.com













