Trong thí nghiệm về I - âng về giao thoa ánh sáng, khoảng cách giữa mặt phẳng chứa hai khe và
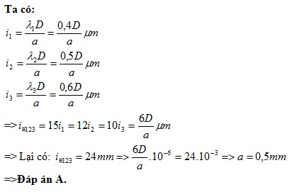
Trong thí nghiệm về I - âng về giao thoa ánh sáng, khoảng cách giữa mặt phẳng chứa hai khe và màn quan sát là 2 m. Hai khe S1, S2 được chiếu đồng thời được chiếu đồng thời ba bức xạ λ1 = 0,4 μm; λ2 = 0,5 μm và λ3 = 0,6 μm. Khoảng cách ngắn nhất giữa hai vân sáng cùng màu với vân trung tâm đo được trên màn là 24 mm. Khoảng cách giữa hai khe là
Đáp án đúng là: A
Quảng cáo
Đáp án cần chọn là: A
>> 2K9 Chú ý! Lộ Trình Sun 2027 - 1 lộ trình ôn đa kỳ thi (TN THPT, ĐGNL (Hà Nội/ Hồ Chí Minh), ĐGNL Sư Phạm, ĐGTD, ĐGNL Bộ Công an, ĐGNL Bộ Quốc phòngTD - Click xem ngay) tại Tuyensinh247.com. Cập nhật bám sát bộ SGK mới, Thầy Cô giáo giỏi, 3 bước chi tiết: Nền tảng lớp 12; Luyện thi chuyên sâu; Luyện đề đủ dạng đáp ứng mọi kì thi.
![]() |
![]() |
![]() |
![]() |
![]() |
![]() |
![]() |
![]() |
Hỗ trợ - Hướng dẫn
-
024.7300.7989
-
1800.6947
(Thời gian hỗ trợ từ 7h đến 22h)
Email: lienhe@tuyensinh247.com













