Cho mạch điện như hình vẽ: X, Y là 2 hộp, mỗi hộp chỉ chứa 2 trong 3 phần tử: điện trở
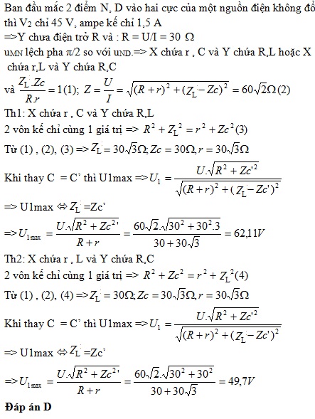
Cho mạch điện như hình vẽ: X, Y là 2 hộp, mỗi hộp chỉ chứa 2 trong 3 phần tử: điện trở thuần, cuộn cảm thuần và tụ điện mắc nối tiếp. Ampe kế có điện trở rất nhỏ, các vôn kế có điện trở rất lớn. Các vôn kết và ampe kế đo được các dòng điện xoay chiều và một chiều. Ban đầu mắc 2 điểm N, D vào hai cực của một nguồn điện không đổi thì V2 chỉ 45 V, ampe kế chỉ 1,5 A. Sau đó mắc M, D vào nguồn điện xoay chiều có điện áp u = 120cos(100πt)V thì ampe kế chỉ 1A, hai vôn kế chỉ cùng một giá trị và uMN lệch pha π/2 so với uND.Khi thay tụ điện C trong mạch bằng tụ C’ thì số chỉ vôn kế V1 lớn nhất U1max. Giá trị U1max gần giá trị nào nhất sau đây?

Đáp án đúng là: D
Quảng cáo
Đáp án cần chọn là: D
>> 2K9 Chú ý! Lộ Trình Sun 2027 - 1 lộ trình ôn đa kỳ thi (TN THPT, ĐGNL (Hà Nội/ Hồ Chí Minh), ĐGNL Sư Phạm, ĐGTD, ĐGNL Bộ Công an, ĐGNL Bộ Quốc phòngTD - Click xem ngay) tại Tuyensinh247.com. Cập nhật bám sát bộ SGK mới, Thầy Cô giáo giỏi, 3 bước chi tiết: Nền tảng lớp 12; Luyện thi chuyên sâu; Luyện đề đủ dạng đáp ứng mọi kì thi.
![]() |
![]() |
![]() |
![]() |
![]() |
![]() |
![]() |
![]() |
Hỗ trợ - Hướng dẫn
-
024.7300.7989
-
1800.6947
(Thời gian hỗ trợ từ 7h đến 22h)
Email: lienhe@tuyensinh247.com













