Có hai máy phát điện xoay chiều một pha, các cuộn dây trên stato của hai máy giống nhau(bỏ qua
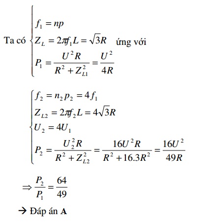
Có hai máy phát điện xoay chiều một pha, các cuộn dây trên stato của hai máy giống nhau(bỏ qua điện trở thuần); số cuộn dây này tỉ lệ với số cặp cực trên mỗi roto; từ trường của mỗi cặp cực trong hai máy cũng như nhau. Máy thứ nhất, rôto có hai cặp cực, nối với mạch ngoài là một cuộn dây không thuần cảm; khi cho roto quay với tốc độ n vòng/s thì công suất tỏa nhiệt trên cuộn dây là P và điện áp tức thời hai cực máy phát sớm pha hơn dòng điện tức thời trong mạch π/3. Máy thứ hai có 4 cặp cực, nếu cũng được nối với cuộn dây trên và roto quay với tốc độ 2n vòng/s thì công suất tỏa nhiệt trên cuộn dây là
Đáp án đúng là: D
Quảng cáo
Đáp án cần chọn là: D
>> 2K9 Chú ý! Lộ Trình Sun 2027 - 1 lộ trình ôn đa kỳ thi (TN THPT, ĐGNL (Hà Nội/ Hồ Chí Minh), ĐGNL Sư Phạm, ĐGTD, ĐGNL Bộ Công an, ĐGNL Bộ Quốc phòngTD - Click xem ngay) tại Tuyensinh247.com. Cập nhật bám sát bộ SGK mới, Thầy Cô giáo giỏi, 3 bước chi tiết: Nền tảng lớp 12; Luyện thi chuyên sâu; Luyện đề đủ dạng đáp ứng mọi kì thi.
![]() |
![]() |
![]() |
![]() |
![]() |
![]() |
![]() |
![]() |
Hỗ trợ - Hướng dẫn
-
024.7300.7989
-
1800.6947
(Thời gian hỗ trợ từ 7h đến 22h)
Email: lienhe@tuyensinh247.com













