Đặt điện áp xoay chiều u = Uocos(ωt) vào hai đầu đoạn mạch AB có điện trở R = 90Ω mắc nối
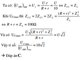
Đặt điện áp xoay chiều u = Uocos(ωt) vào hai đầu đoạn mạch AB có điện trở R = 90Ω mắc nối tiếp với cuộn dây không thuần cảm có r = 10 Ω và tụ điện có điện dung C thay đổi được theo thứ tự như hình vẽ bên. M là điểm nối giữa R và cuộn dây, khi C = C1 thì điện áp hiệu dụng hai đầu đoạn mạch MB đạt giá trị cực tiểu bằng U1; Khi C = C2 = 0,5C1 thì điện áp hiệu dụng trên tụ điện đạt giá trị cực đại bằng U2. Tỉ số
bằng :

Đáp án đúng là: C
Quảng cáo
Đáp án cần chọn là: C
>> 2K9 Chú ý! Lộ Trình Sun 2027 - 1 lộ trình ôn đa kỳ thi (TN THPT, ĐGNL (Hà Nội/ Hồ Chí Minh), ĐGNL Sư Phạm, ĐGTD, ĐGNL Bộ Công an, ĐGNL Bộ Quốc phòngTD - Click xem ngay) tại Tuyensinh247.com. Cập nhật bám sát bộ SGK mới, Thầy Cô giáo giỏi, 3 bước chi tiết: Nền tảng lớp 12; Luyện thi chuyên sâu; Luyện đề đủ dạng đáp ứng mọi kì thi.
![]() |
![]() |
![]() |
![]() |
![]() |
![]() |
![]() |
![]() |
Hỗ trợ - Hướng dẫn
-
024.7300.7989
-
1800.6947
(Thời gian hỗ trợ từ 7h đến 22h)
Email: lienhe@tuyensinh247.com













