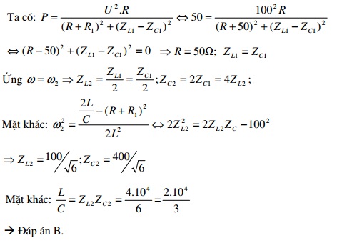
Một mạch điện xoay chiều nối tiếp theo thứ tự gồm RCL và điện trở .Đặt vào hai đầu
Một mạch điện xoay chiều nối tiếp theo thứ tự gồm RCL và điện trở
.Đặt vào hai đầu đoạn mạch một điện áp xoay chiều
( có ω thay đổi được). Khi
thì công suất tỏa nhiệt trên R là 50W. Khi
thì điện áp hiệu dụng hai đầu tụ C đạt cực đại. Tỉ số L/C bằng
Đáp án đúng là: B
Quảng cáo
Đáp án cần chọn là: B
>> 2K9 Chú ý! Lộ Trình Sun 2027 - 1 lộ trình ôn đa kỳ thi (TN THPT, ĐGNL (Hà Nội/ Hồ Chí Minh), ĐGNL Sư Phạm, ĐGTD, ĐGNL Bộ Công an, ĐGNL Bộ Quốc phòngTD - Click xem ngay) tại Tuyensinh247.com. Cập nhật bám sát bộ SGK mới, Thầy Cô giáo giỏi, 3 bước chi tiết: Nền tảng lớp 12; Luyện thi chuyên sâu; Luyện đề đủ dạng đáp ứng mọi kì thi.
![]() |
![]() |
![]() |
![]() |
![]() |
![]() |
![]() |
![]() |
Hỗ trợ - Hướng dẫn
-
024.7300.7989
-
1800.6947
(Thời gian hỗ trợ từ 7h đến 22h)
Email: lienhe@tuyensinh247.com













