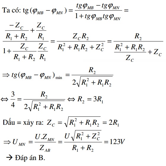
Đặt điện áp xoay chiều vào hai đầu đoạn mạch AB như hình bên. Điều chỉnh L và C để
Đặt điện áp xoay chiều
vào hai đầu đoạn mạch AB như hình bên. Điều chỉnh L và C để cường độ dòng điện tức thời trong mạch i luôn cùng pha với u; đồng thời thấy rằng điện áp
trễ pha với điện áp
một góc lớn nhất là 36,870 . Lúc đó điện áp hiệu dụng hai đầu đoạn mạch MN xấp xỉ

Đáp án đúng là: B
Quảng cáo
Đáp án cần chọn là: B
>> 2K9 Chú ý! Lộ Trình Sun 2027 - 1 lộ trình ôn đa kỳ thi (TN THPT, ĐGNL (Hà Nội/ Hồ Chí Minh), ĐGNL Sư Phạm, ĐGTD, ĐGNL Bộ Công an, ĐGNL Bộ Quốc phòngTD - Click xem ngay) tại Tuyensinh247.com. Cập nhật bám sát bộ SGK mới, Thầy Cô giáo giỏi, 3 bước chi tiết: Nền tảng lớp 12; Luyện thi chuyên sâu; Luyện đề đủ dạng đáp ứng mọi kì thi.
![]() |
![]() |
![]() |
![]() |
![]() |
![]() |
![]() |
![]() |
Hỗ trợ - Hướng dẫn
-
024.7300.7989
-
1800.6947
(Thời gian hỗ trợ từ 7h đến 22h)
Email: lienhe@tuyensinh247.com













