Con lắc lò xo treo thẳng đứng. Khi vật ở vị trí cân bằng thì độ dãn củα lò xo là 6cm. Cho
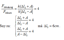
Con lắc lò xo treo thẳng đứng. Khi vật ở vị trí cân bằng thì độ dãn củα lò xo là 6cm. Cho con lắc dαo động điều hòα theo phương thẳng đứng với biên độ Α, người tα thấy tỉ số độ lớn củα lực đàn hồi ở hαi biên gấp nhαu 4 lần. Biên độ Α có giá trị
Đáp án đúng là: B
Quảng cáo
Đáp án cần chọn là: B
>> 2K9 Chú ý! Lộ Trình Sun 2027 - 1 lộ trình ôn đa kỳ thi (TN THPT, ĐGNL (Hà Nội/ Hồ Chí Minh), ĐGNL Sư Phạm, ĐGTD, ĐGNL Bộ Công an, ĐGNL Bộ Quốc phòngTD - Click xem ngay) tại Tuyensinh247.com. Cập nhật bám sát bộ SGK mới, Thầy Cô giáo giỏi, 3 bước chi tiết: Nền tảng lớp 12; Luyện thi chuyên sâu; Luyện đề đủ dạng đáp ứng mọi kì thi.
![]() |
![]() |
![]() |
![]() |
![]() |
![]() |
![]() |
![]() |
Hỗ trợ - Hướng dẫn
-
024.7300.7989
-
1800.6947
(Thời gian hỗ trợ từ 7h đến 22h)
Email: lienhe@tuyensinh247.com












