Cho đoạn mạch AB theo thứ tự gồm điện trở thuần R, tụ điện có điện dung C thay đổi và
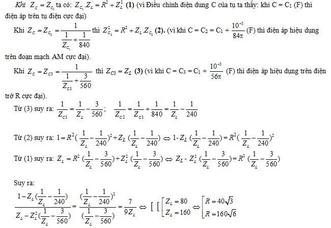
Cho đoạn mạch AB theo thứ tự gồm điện trở thuần R, tụ điện có điện dung C thay đổi và cuộn cảm thuần L mắc nối tiếp. Gọi M là điểm nối chính giữa tụ điện và cuộn cảm. Đặt vào hai đầu đoạn mạch điện áp xoay chiều ổn định u = U√2cos100πt (V). Điều chỉnh điện dung C của tụ ta thấy: khi C = C1 (F) thì điện áp trên tụ điện cực đại; khi C = C2 = C1 + 10-3/84π (F) thì điện áp hiệu dụng trên đoạn mạch AM cực đại; khi C = C3 = C1 + 10-3/56π (F) thì điện áp hiệu dụng trên điện trở R cực đại. Điện trở có thể nhận giá trị
Đáp án đúng là: B
Quảng cáo
Đáp án cần chọn là: B
>> 2K9 Chú ý! Lộ Trình Sun 2027 - 1 lộ trình ôn đa kỳ thi (TN THPT, ĐGNL (Hà Nội/ Hồ Chí Minh), ĐGNL Sư Phạm, ĐGTD, ĐGNL Bộ Công an, ĐGNL Bộ Quốc phòngTD - Click xem ngay) tại Tuyensinh247.com. Cập nhật bám sát bộ SGK mới, Thầy Cô giáo giỏi, 3 bước chi tiết: Nền tảng lớp 12; Luyện thi chuyên sâu; Luyện đề đủ dạng đáp ứng mọi kì thi.
![]() |
![]() |
![]() |
![]() |
![]() |
![]() |
![]() |
![]() |
Hỗ trợ - Hướng dẫn
-
024.7300.7989
-
1800.6947
(Thời gian hỗ trợ từ 7h đến 22h)
Email: lienhe@tuyensinh247.com












