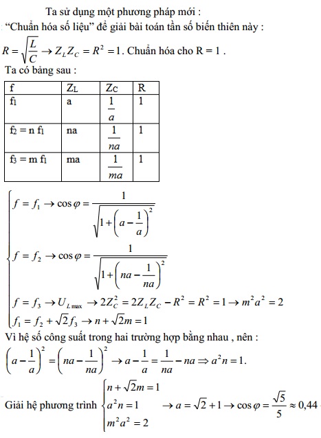
Đặt điện áp xoay chiều có giá trị hiệu dụng không đỏi, tần số thay đổi được vào hai
Đặt điện áp xoay chiều có giá trị hiệu dụng không đỏi, tần số thay đổi được vào hai đầu đoạn mạch gồm điện trở thuần R, cuộn cảm thuần L và tụ điện C sao cho R =
. Thay đổi tần số đến các giá trị f1 và f2 thì hệ số công suất trong mạch là như nhau và bằng cosφ. Thay đổi tần số đến f3 thì điện áp hai đầu cuộn cảm đạt cực đại, biết rằng f1 = f2 +
f3 . Giá trị của cosφ gần với giá trị nào nhất sau đây ?
Đáp án đúng là: D
Quảng cáo
Đáp án cần chọn là: D
>> 2K8 Chú ý! Lộ Trình Sun 2026 - 3IN1 - 1 lộ trình ôn 3 kì thi (Luyện thi 26+ TN THPT, 90+ ĐGNL HN, 900+ ĐGNL HCM, 70+ ĐGTD - Click xem ngay) tại Tuyensinh247.com.Đầy đủ theo 3 đầu sách, Thầy Cô giáo giỏi, luyện thi theo 3 giai đoạn: Nền tảng lớp 12, Luyện thi chuyên sâu, Luyện đề đủ dạng đáp ứng mọi kì thi.
![]() |
![]() |
![]() |
![]() |
![]() |
![]() |
![]() |
![]() |
Hỗ trợ - Hướng dẫn
-
024.7300.7989
-
1800.6947
(Thời gian hỗ trợ từ 7h đến 22h)
Email: lienhe@tuyensinh247.com













