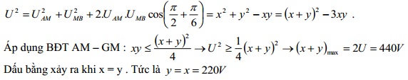
Đặt điện áp xoay chiều AB gồm đoạn mạch AM và MB mắc nối tiếp. Điện áp ở hai đầu
Đặt điện áp xoay chiều AB gồm đoạn mạch AM và MB mắc nối tiếp. Điện áp ở hai đầu đoạn mạch ổn định và có biểu thức u =220
cos100πt (V) .Điện áp ở hai đầu đoạn mạch AM sớm pha hơn cương độ dòng điện một góc
. Đoạn mạch MB chỉ có một tụ điện có điện dung C thay đổi được.Điều chỉnh C để tổng điện áp hiệu dụng UAM + UMB có giá trị lớn nhất. Khi độ điện áp hiệu dụng ở hai đầu tụ điện có giá trị
Đáp án đúng là: A
Quảng cáo
Đáp án cần chọn là: A
>> 2K8 Chú ý! Lộ Trình Sun 2026 - 3IN1 - 1 lộ trình ôn 3 kì thi (Luyện thi 26+ TN THPT, 90+ ĐGNL HN, 900+ ĐGNL HCM, 70+ ĐGTD - Click xem ngay) tại Tuyensinh247.com.Đầy đủ theo 3 đầu sách, Thầy Cô giáo giỏi, luyện thi theo 3 giai đoạn: Nền tảng lớp 12, Luyện thi chuyên sâu, Luyện đề đủ dạng đáp ứng mọi kì thi.
![]() |
![]() |
![]() |
![]() |
![]() |
![]() |
![]() |
![]() |
Hỗ trợ - Hướng dẫn
-
024.7300.7989
-
1800.6947
(Thời gian hỗ trợ từ 7h đến 22h)
Email: lienhe@tuyensinh247.com













