Một mạch xoay chiều AB gồm AM nối tiếp MB. Cho AM gồm điện trở thuần R nối tiếp cuộn cảm
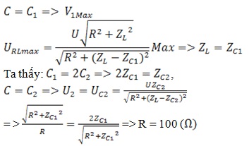
Một mạch xoay chiều AB gồm AM nối tiếp MB. Cho AM gồm điện trở thuần R nối tiếp cuộn cảm thuần L ; MB chỉ có tụ điện với điện dung C thay đổi được. Đặt vào hai đầu mạch AB một điện áp xoay chiều có tần số góc 100π rad/s và giá trị hiệu dụng không đổi. Mắc vào 2 điểm A,M vôn kế V1 ; mắc vào 2 điểm M,B vôn kế V2; các vôn kế xoay chiều có điện trở vô cùng lớn. Điều chỉnh C=C1 =31,8µF thì số chỉ V1 là lớn nhất bằng (x) , khi C= C2=15,9µF thì số chỉ V2 cũng bằng (x). Điện trở R gần giá trị nào nhất sau đây ?
Đáp án đúng là: A
Quảng cáo
Đáp án cần chọn là: A
>> 2K9 Chú ý! Lộ Trình Sun 2027 - 1 lộ trình ôn đa kỳ thi (TN THPT, ĐGNL (Hà Nội/ Hồ Chí Minh), ĐGNL Sư Phạm, ĐGTD, ĐGNL Bộ Công an, ĐGNL Bộ Quốc phòngTD - Click xem ngay) tại Tuyensinh247.com. Cập nhật bám sát bộ SGK mới, Thầy Cô giáo giỏi, 3 bước chi tiết: Nền tảng lớp 12; Luyện thi chuyên sâu; Luyện đề đủ dạng đáp ứng mọi kì thi.
![]() |
![]() |
![]() |
![]() |
![]() |
![]() |
![]() |
![]() |
Hỗ trợ - Hướng dẫn
-
024.7300.7989
-
1800.6947
(Thời gian hỗ trợ từ 7h đến 22h)
Email: lienhe@tuyensinh247.com













