Cho một máy biến áp lí tưởng có số vòng dây dẫn cuộn thứ nhất là N1, số vòng dây dẫn
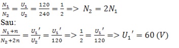
Cho một máy biến áp lí tưởng có số vòng dây dẫn cuộn thứ nhất là N1, số vòng dây dẫn cuộn thứ hai là N2. Nếu đặt vào hai đầu cuộn thứ nhất điện áp xoay chiều có giá trị hiệu dụng 120V thì ở hai đầu cuộn thứ hai để hở điện áp hiệu dụng là 240 V. Sau đó cho cuộn dây thứ nhất tăng thêm n vòng dây, cuộn dây thứ hai tăng thêm 2n vòng dây. Nếu lúc này đặt vào hai đầu cuộn dây thứ hai điện áp xoay chiều có giá trị hiệu dụng 120 V thì ở hai đầu cuộn thứ nhất để hở điện áp hiệu dụng bằng
Đáp án đúng là: A
Quảng cáo
Đáp án cần chọn là: A
>> 2K9 Chú ý! Lộ Trình Sun 2027 - 1 lộ trình ôn đa kỳ thi (TN THPT, ĐGNL (Hà Nội/ Hồ Chí Minh), ĐGNL Sư Phạm, ĐGTD, ĐGNL Bộ Công an, ĐGNL Bộ Quốc phòngTD - Click xem ngay) tại Tuyensinh247.com. Cập nhật bám sát bộ SGK mới, Thầy Cô giáo giỏi, 3 bước chi tiết: Nền tảng lớp 12; Luyện thi chuyên sâu; Luyện đề đủ dạng đáp ứng mọi kì thi.
![]() |
![]() |
![]() |
![]() |
![]() |
![]() |
![]() |
![]() |
Hỗ trợ - Hướng dẫn
-
024.7300.7989
-
1800.6947
(Thời gian hỗ trợ từ 7h đến 22h)
Email: lienhe@tuyensinh247.com













