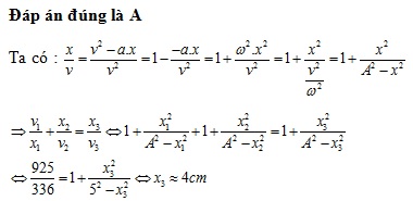
Cho ba vật dao động điều hòa cùng biên độ A = 5 cm nhưng tần số khác nhau. Biết rằng tại
Cho ba vật dao động điều hòa cùng biên độ A = 5 cm nhưng tần số khác nhau. Biết rằng tại mọi thời điểm li độ, vận tốc của các vật liên hệ với nhau bởi biểu thức
. Tại thời điểm t, các vật cách vị trí cân bằng của chúng lần lượt là 3 cm, 2 cm và x0. Giá trị x0 gần giá trị nào nhất sau đây:
Đáp án đúng là: A
Quảng cáo
Đáp án cần chọn là: A
>> 2K9 Chú ý! Lộ Trình Sun 2027 - 1 lộ trình ôn đa kỳ thi (TN THPT, ĐGNL (Hà Nội/ Hồ Chí Minh), ĐGNL Sư Phạm, ĐGTD, ĐGNL Bộ Công an, ĐGNL Bộ Quốc phòngTD - Click xem ngay) tại Tuyensinh247.com. Cập nhật bám sát bộ SGK mới, Thầy Cô giáo giỏi, 3 bước chi tiết: Nền tảng lớp 12; Luyện thi chuyên sâu; Luyện đề đủ dạng đáp ứng mọi kì thi.
![]() |
![]() |
![]() |
![]() |
![]() |
![]() |
![]() |
![]() |
Hỗ trợ - Hướng dẫn
-
024.7300.7989
-
1800.6947
(Thời gian hỗ trợ từ 7h đến 22h)
Email: lienhe@tuyensinh247.com













