Amin, Amino Axit và Protein
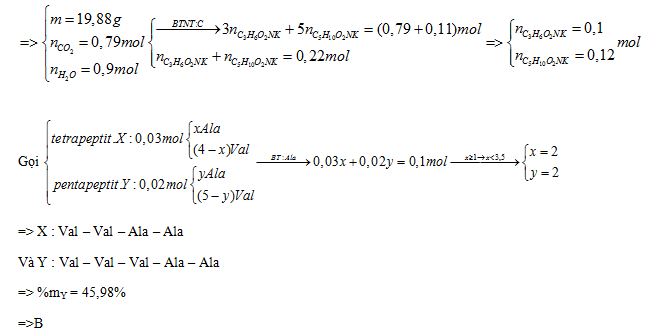
Thủy phân hoàn toàn m gam hỗn hợp M gồm tetrapeptit X và pentapeptit Y (đều mạch hở) bằng dung dịch KOH vừa đủ, rồi cô cạn cẩn thận thì thu được (m + 11,42) gam hỗn hợp muối khan của Val và Ala. Đốt cháy hoàn toàn muối sinh ra bằng một lượng oxi vừa đủ thu được K2CO3; 2,464 lít N2 (đktc) và 50,96 gam hỗn hợp gồm CO2 và H2O. Phần trăm khối lượng của Y trong hỗn hợp M có thể là
Đáp án đúng là: B
Quảng cáo
Đáp án cần chọn là: B
>> 2K9 Chú ý! Lộ Trình Sun 2027 - 1 lộ trình ôn đa kỳ thi (TN THPT, ĐGNL (Hà Nội/ Hồ Chí Minh), ĐGNL Sư Phạm, ĐGTD, ĐGNL Bộ Công an, ĐGNL Bộ Quốc phòngTD - Click xem ngay) tại Tuyensinh247.com. Cập nhật bám sát bộ SGK mới, Thầy Cô giáo giỏi, 3 bước chi tiết: Nền tảng lớp 12; Luyện thi chuyên sâu; Luyện đề đủ dạng đáp ứng mọi kì thi.
![]() |
![]() |
![]() |
![]() |
![]() |
![]() |
![]() |
![]() |
Hỗ trợ - Hướng dẫn
-
024.7300.7989
-
1800.6947
(Thời gian hỗ trợ từ 7h đến 22h)
Email: lienhe@tuyensinh247.com














