Vật A có kích thước nhỏ khối lượng m, khi mắc vật A với lò xo có độ cứng k1 thì tạo
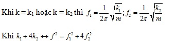
Vật A có kích thước nhỏ khối lượng m, khi mắc vật A với lò xo có độ cứng k1 thì tạo thành con lắc lò xo có tần số riêng là f1 . Khi mắc vật A với lò xo có độ cứng k2 thì tần số riêng tương ứng là f2 . Nếu mắc vật A với lò xo có độ cứng k = k1 + 4k2 thì tần số riêng f của con lắc lò xo A được tính theo biểu thức
Đáp án đúng là: C
Quảng cáo
Đáp án cần chọn là: C
>> 2K9 Chú ý! Lộ Trình Sun 2027 - 1 lộ trình ôn đa kỳ thi (TN THPT, ĐGNL (Hà Nội/ Hồ Chí Minh), ĐGNL Sư Phạm, ĐGTD, ĐGNL Bộ Công an, ĐGNL Bộ Quốc phòngTD - Click xem ngay) tại Tuyensinh247.com. Cập nhật bám sát bộ SGK mới, Thầy Cô giáo giỏi, 3 bước chi tiết: Nền tảng lớp 12; Luyện thi chuyên sâu; Luyện đề đủ dạng đáp ứng mọi kì thi.
![]() |
![]() |
![]() |
![]() |
![]() |
![]() |
![]() |
![]() |
Hỗ trợ - Hướng dẫn
-
024.7300.7989
-
1800.6947
(Thời gian hỗ trợ từ 7h đến 22h)
Email: lienhe@tuyensinh247.com













